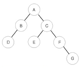
문제이진 트리를 입력받아 전위 순회(preorder traversal), 중위 순회(inorder traversal), 후위 순회(postorder traversal)한 결과를 출력하는 프로그램을 작성하시오. ![]() 예를 들어 위와 같은 이진 트리가 입력되면,
가 된다. 입력첫째 줄에는 이진 트리의 노드의 개수 N(1≤N≤26)이 주어진다. 둘째 줄부터 N개의 줄에 걸쳐 각 노드와 그의 왼쪽 자식 노드, 오른쪽 자식 노드가 주어진다. 노드의 이름은 A부터 차례대로 영문자 대문자로 매겨지며, 항상 A가 루트 노드가 된다. 자식 노드가 없는 경우에는 .으로 표현된다. 출력첫째 줄에 전위 순회, 둘째 줄에 중위 순회, 셋째 줄에 후위 순회한 결과를 출력한다. 각 줄에 N개의 알파벳을 공백 없이 출력하면 된다. |
트리 각각의 노드 A, B, C ... 는 다음과 같이 left/right 정보를 가지고 있다.
나는 이 정보를 Map을 사용하여 구현하였다.
<key,value> 의 타입을 <Character, char[]> 으로 선언하여
다음과 같이 key에는 노드의 값, value에는 left, right 자식노드의 값을 배열로 넣어주었다.

전위순회 (preOrder) / 중위순회 (inOrder) / 후위순회 (postOrder) 는 문제에 적혀있는대로
각각 (루트) (왼쪽 자식) (오른쪽 자식) / (왼쪽 자식) (루트) (오른쪽 자식) / (왼쪽 자식) (오른쪽 자식) (루트) 순서대로 자식노드를 탐색해야하기 때문에, 다음과 같이 재귀함수를 사용하였다.
- preOrder : preOrder(left); preOrder(right); print(root);
- inOrder : inOrder(left); print(root); inOrder(right);
- postOrder : print(root); postOrder(left); postOrder(right);
public class Main_baek_트리순회 {
public static Map<Character, char[]> map = new HashMap<>();
public static void main(String[] args) throws Exception {
BufferedReader br = new BufferedReader(new InputStreamReader(System.in));
StringTokenizer st = new StringTokenizer(br.readLine(), " ");
int N = Integer.parseInt(st.nextToken());
for(int i=0; i<N; i++) {
char[] node = br.readLine().toCharArray();
map.put(node[0], new char[] {node[2], node[4]});
}
preOrder('A');
System.out.println();
inOrder('A');
System.out.println();
postOrder('A');
}
public static void preOrder(char c) {
char[] node = map.get(c);
System.out.print(c);
if(node[0] != '.') preOrder(node[0]);
if(node[1] != '.') preOrder(node[1]);
}
public static void inOrder(char c) {
char[] node = map.get(c);
if(node[0] != '.') inOrder(node[0]);
System.out.print(c);
if(node[1] != '.') inOrder(node[1]);
}
public static void postOrder(char c) {
char[] node = map.get(c);
if(node[0] != '.') postOrder(node[0]);
if(node[1] != '.') postOrder(node[1]);
System.out.print(c);
}
}
1991번: 트리 순회
첫째 줄에는 이진 트리의 노드의 개수 N(1≤N≤26)이 주어진다. 둘째 줄부터 N개의 줄에 걸쳐 각 노드와 그의 왼쪽 자식 노드, 오른쪽 자식 노드가 주어진다. 노드의 이름은 A부터 차례대로 영문자
www.acmicpc.net
'Algorithm > 문제풀이' 카테고리의 다른 글
| [Java][Programmers]49191_순위 (0) | 2021.01.10 |
|---|---|
| [Java][Baekjoon]2252_줄 세우기 (0) | 2021.01.10 |
| [Java][Baekjoon]1960_에라토스테네스의 체 (0) | 2021.01.10 |
| [Java][Baekjoon]1920_수 찾기 (0) | 2021.01.10 |
| [Java][Programmers]12914_멀리 뛰기 (0) | 2020.12.23 |
